TinToll Performance Materials Co., Ltd.
TinToll Performance Materials Co., Ltd.
폴리 (디 프로필 렌 글리콜) 페닐 포스포트

파워녹스™도프

CAS No. 80584-86-7

폴리 (디프로필렌 글리콜) 페닐 포스페이트


파워녹스™DHOP는 다양한 유형의 중합체 응용에 효과적인 액체 중합체 포스파이트이다.


TY_QT3 CAS No. 80584-86-7
폴리 (디 프로필 렌 글리콜) 페닐 포스포트

PowerNox의 기술 데이터™DHOP CAS No. 80584-86-7

동의어Songnox DHOP, Everaox 203.

CAS 번호

80584-86-7

EINECS 번호

279-499-4

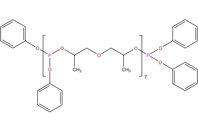
화학 구조

poly dipropyleneglycol phenyl phosphite

화학 공식

C102H13431P8

분자량

2100

패킹

파워녹스™DHOP는 205Kg 스틸 드럼에 제공됩니다.

노트

전단지의 모든 정보는 현재의 지식과 경험을 기반으로합니다. 우리는 기술 진보 또는 추가 개발에 따라 변경할 권리가 있습니다. 의 성능인산염 항산화본원에 기재된 것은 시험에 의해 검증되어야 한다.


우리는 특히 특정 목적이나 상품성에 대한 피트니스의 다른 표현 또는 묵시적 보증을 거부합니다.


우리는 부수적 또는 결과적 손해에 대한 책임을 부인합니다.

PowerNox의 혜택 및 응용™DHOP CAS No. 80584-86-7

파워녹스™DHOP는 PVC, ABS, 폴리우레탄, 폴리카보네이트 및 코팅에 적합한 유기 중합체를위한 2 차 산화 방지제로 가공 및 최종 적용 중에 향상된 색상 및 열 안정성을 제공합니다.


파워녹스™DHOP는 더 밝고 일관된 색상을 제공하고 PVC의 열 안정성을 향상시키기 위해 2 차 안정제 및 킬레이트제로 단단하고 유연한 PVC 응용 분야에 사용할 수 있습니다.


파워녹스™DHOP는 식품 접촉에 대한 규제 승인이 필요하지 않은 중합체에 사용할 수 있습니다.


일반적인 사용 수준은 대부분의 응용 프로그램에서 0.2 1.0% 범위입니다.

PowerNox의 물리적 속성™DHOP CAS No. 80584-86-7

외관

명확한 액체

색상 (APHA)

맥스. 50

산 가치 (mg KOH/g)

맥스. 0.1

굴절 지수 [25 ° C]

1.5340-1.5380

비중 [25 ° C]

1.168-1.18


어떻게 도와 드릴까요?
샘플을 Reqest? 견적 요청? 기술적 인 질문? 유통 업체 찾기?
추천하다 인산염 항산화
폴리 (디 프로필 렌 글리콜) 페닐 포스포트