TinToll Performance Materials Co., Ltd.
TinToll Performance Materials Co., Ltd.
1,6-Hexanediamine, N,N'-bis(2,2,6,6-테트라 메틸-4-피 페리 디닐)-, morpholine-2 포함 된 폴리머, 4,6-트리클로로-1,3,5-triazine

파워스탭™3529

CAS No. 193098-40-7

N,N'-Bis(2,2,6,6-테트라 메틸-4-피 페리 디닐)-1,6-헥산 디아민 폴리머, morpholine-2,4,6-트리클로로-1,3,5-트리아 진 반응 생성물, 메틸화


파워스탭™3529 낮은 휘발성 효과적인 빛 안정제입니다. 그것은 최소한의 색상 기여와 선택적 반응성을 가지고 있습니다.




TY_QT3 CAS No. 193098-40-7
1,6-Hexanediamine, N,N'-bis(2,2,6,6-테트라 메틸-4-피 페리 디닐)-, morpholine-2 포함 된 폴리머, 4,6-트리클로로-1,3,5-triazine

PowerStab의 기술 데이터™3529 CAS No. 193098-40-7

동의어Cyasorb UV-3529, UV-829.

CAS 번호

193098-40-7

EINECS 번호

N.A.

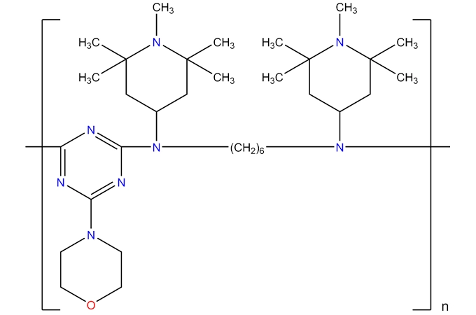
화학 구조

1,6 hexanediamine, n,n' bis 2,2,6,6 tetramethyl  4 piperidinyl polymers with morpholine 2,4,6 trichloro  1,3,5 triazine

화학 공식

(C33H60N8O)N

분자량

11700 ± 10%

패킹

파워스탭™3529 (CAS 193098-40-7) 는 PE 라이너가있는 25kg 섬유 드럼으로 공급됩니다.

노트

전단지의 모든 정보는 현재의 지식과 경험을 기반으로합니다. 우리는 기술 진보 또는 추가 개발에 따라 변경할 권리가 있습니다. 본원에 기재된 제품의 성능은 시험에 의해 검증되어야 한다.


우리는 특히 특정 목적이나 상품성에 대한 피트니스의 다른 표현 또는 묵시적 보증을 거부합니다.


우리는 부수적 또는 결과적 손해에 대한 책임을 부인합니다.

PowerStab의 혜택 및 응용™3529 CAS No. 193098-40-7

파워스탭™3529 다른 사람과 좋은 호환성을 가지고HALS 안정제및 UVA.


파워스탭™3529 PE, PP, 폴리 올레핀, 농업 필름 및 잔디에서 널리 사용됩니다.

PowerStab의 물리적 속성™3529 CAS No. 193098-40-7

외관

오프 화이트 파우더

건조 손실 (%)

맥스. 0.5

휘발성 (%)

맥스. 0.5

유리 전이 온도 (%)

88

톨루엔 불용성 (%)

Max.0.25


어떻게 도와 드릴까요?
샘플을 Reqest? 견적 요청? 기술적 인 질문? 유통 업체 찾기?
추천하다 방해받은 아민 조명 안정제
1,6-Hexanediamine, N,N'-bis(2,2,6,6-테트라 메틸-4-피 페리 디닐)-, morpholine-2 포함 된 폴리머, 4,6-트리클로로-1,3,5-triazine