TinToll Performance Materials Co., Ltd.
TinToll Performance Materials Co., Ltd.
Cyclopentadienyliron(ii) hexa-fluoroantimonate

파워큐어™PAG230

CAS No. 100011-37-8

Cyclopentadienyliron(ii) hexa-fluoroantimonate


파워큐어™PAG230 은 양이온 유기 금속 광 개시제 클래스에 속합니다. 에폭시 경화를 위해 우수한 광 흡수 및 고해상도를 제공합니다.

TY_QT3 CAS No. 100011-37-8
Cyclopentadienyliron(ii) hexa-fluoroantimonate

PowerCure의 기술 데이터™PAG230 CAS No. 100011-37-8

동의어사용 가능한 데이터가 없습니다.

CAS 번호

100011-37-8

EINECS 번호

407-840-0

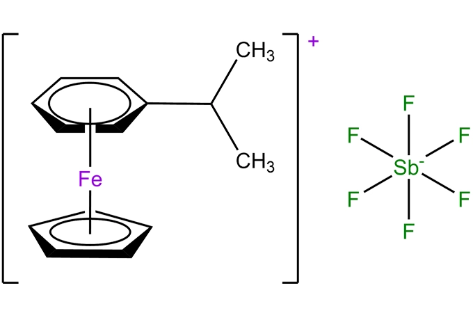
화학 구조


cyclopentadienyliron ii hexa fluoroantimonate

화학 공식

C14H17Fe.SbF6


분자량

476.8


패킹

파워큐어™PAG230 은 25Kg 드럼으로 공급된다.

노트

전단지의 모든 정보는 현재의 지식과 경험을 기반으로합니다. 우리는 기술 진보 또는 추가 개발에 따라 변경할 권리가 있습니다. 본원에 기재된 제품의 성능은 시험에 의해 검증되어야 한다.


우리는 특히 특정 목적이나 상품성에 대한 피트니스의 다른 표현 또는 묵시적 보증을 거부합니다.


우리는 부수적 또는 결과적 손해에 대한 책임을 부인합니다.

PowerCure의 혜택 및 응용™PAG230 CAS No. 100011-37-8

파워큐어™PAG230 은 근자외선 영역에서 강한 흡수를 가질뿐만 아니라 가시 광선 및 LED 경화에 적합한 가시 영역에서도 흡수됩니다. 자외선 영역에서 멸종 계수는 10 에 도달 할 수 있습니다.3크기의 순서, 그리고 단파 가시 영역에서도 약한 흡수가 있고, 흡광 계수는 약 10 입니다.2규모의 순서.

PowerCure를 포함하는 공식™PAG230 은 광 직후에 양이온 중합을 할 수 없지만, 단지 잠복 경화층을 형성하는데, 이는 적절한 가열 후에 경화될 수 있고, 불투명 물질의 결합에 매우 적합하다.


파워큐어™PAG230 은 주로 유색 시스템에서 주로 사용되는 다양한 양이온 광 경화 시스템에 사용됩니다. 지연 경화 및 열 경화 시스템에 사용할 수 있습니다.


권장 복용량은 1 ~ 5% 입니다.

PowerCure의 물리적 속성™PAG230 CAS No. 100011-37-8

외관

산성 분말

순도 (%)

Min.98

녹는 점 (°C)

81-86

끓는 점 (° C)

Min.250

휘발성 손실 (%)

맥스. 0.5

PowerCure의 용해도™PAG230 CAS No. 100011-37-8

용해도 [20 ° C]

% W/w

0.4

디클로로메탄

80

톨루엔

40

TMPTA

> 10

TPDGA

> 10

비스페놀 에폭시 아크릴레이트

> 10


어떻게 도와 드릴까요?
샘플을 Reqest? 견적 요청? 기술적 인 질문? 유통 업체 찾기?
추천하다 양이온 사진 개시자
Cyclopentadienyliron(ii) hexa-fluoroantimonate