방해된 아민 광 안정제 (HALS) 는 중합체의 장기간 열 보호를 위한 중요한 안정제이며, 중간 및 저온에서 자유 라디칼에 의한 중합체 분해를 억제하는데 매우 효과적이다.
방해된 아민 광 안정제 (HALS) 는 중합체 분해를 방지하기 위해 광분해에 의해 생성된 자유 라디칼을 제거함으로써 우수한 UV 보호를 나타낸다. HALS 화학 물질이 자유 라디칼을 제거한 후 원래 구조로 돌아가서 효과적인 장기 성능을 위해 자유 라디칼을 반복적으로 제거합니다.
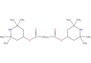
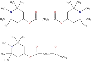
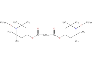
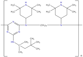
HALS 방해 아민 광 안정제는 분자량 (MW) 에 따라 분류 할 수 있습니다. 약 200 ~ 500g/mol의 낮은 분자량을 갖는 HALS UV 안정제는 일반적으로 낮은 MW HALS로 지칭되며, 2000 이상의 분자량을 갖는 HALS 안정제는 고 MW HALS로 지칭된다. 일반적으로, 고분자량 장애 아민 안정제는 저분자량 장애 아민 안정제보다 더 효과적이며, 매우 낮은 분자량 장애 아민 안정제는 전혀 열적 안정성을 제공하지 못한다.
HALS 광 안정제의 높은 효율은 일련의 복잡한 자유 라디칼 제거 반응을 기반으로합니다. HALS 산화는 비교적 느리고 온도 의존적 반응이다. 그들은 고온 (약 80 ° C 이상) 에서 매우 효과적이지 않으며, HALS는 종종 1 차 및 2 차 산화 방지제와 함께 사용되므로 조합이 우수한 상승 효과를 나타낼 수 있습니다.
30 년 이상,틴톨글로벌 플라스틱 시장의 성장하고 변화하는 기술적 요구를 충족시키기 위해 혁신적인 고성능 광 안정제 및 항산화 솔루션을 제공하기 위해 노력해 왔습니다.
HALS는 UV 방사선을 흡수하지 않지만 중합체 분해를 억제한다. 이들은 광화학적으로 유도된 분해 반응을 항산화제와 어느 정도 유사하게 느리게 한다.
HALS의 장점 중 하나는 좋은 결과를 보장하기 위해 특정 층 두께 또는 농도 제한이 필요하지 않다는 것입니다. 현저한 고원은 비교적 낮은 농도에서 달성된다. HALS의 높은 효율과 긴 수명은 HALS가 안정화 동안 소비되기보다는 재생되는 순환 프로세스에 기인합니다.
방해된 아민 안정제가 열 산화에 저항하는 메커니즘은 복잡한 것으로 보인다. 공정의 재생 특성 및 일반적으로 높은 분자량으로 인해빛 안정제, 방해 아민 안정제는 매우 장기적인 열 및 광 안정성을 제공 할 수 있습니다.
HALS의 메커니즘은 광 산화에 대한 안정화로 이어지는 몇 가지 다른 반응을 포함합니다. 탄소 라디칼의 라디칼 제거 특성, HALS 대사 산물과 퍼옥실 라디칼의 반응 및 하이드로 퍼옥사이드의 분해가 다음과 같이 발견되었습니다.
