TinToll Performance Materials Co., Ltd.
TinToll Performance Materials Co., Ltd.

양이온 광개시제는 자유 라디칼 광개시제와 다르게 반응한다. 이오도늄 염 광개시제는 그의 우수한 감광성 및 그들의 용해도 및 다른 물리적 특성이 다양한 용도에 맞춰질 수 있다는 사실 때문에 가장 널리 사용되는 양이온 광 개시제이다. 이 염이 UV 광선으로 조사되면 I 형 광 개시제와 같은 동종 결합 절단을 겪습니다. 형성된 자유 라디칼은 양성자 공여체와 반응하여 초강력 양성자 산 (브론스 테드 또는 루이스 산이라고도 함) 을 형성하고 생성 된 산은 중합을 시작합니다.


TINTOLL은 선두 주자 중 하나입니다.Photoinitiator 공급 업체TINTOLL의 초석 사업 중 하나이기도합니다. 당사의 제품 포트폴리오에는 자유 라디칼 및 양이온 광 개시제 (광산 생성기) 와 아민 시너지 전문가가 포함됩니다. UV 경화성 재료는 그래픽 아트, 산업용 코팅, 접착제, 인쇄 회로 기판 및 3D 인쇄에 널리 사용됩니다.틴톨애플리케이션 지원, 제품 개발 및 맞춤형 솔루션을 제공하고 고객과 협력하여 차세대 양이온 광 개시제를 개발합니다.


양이온 사진 개시자의 유형

양이온 사진 개시자의 유형

양이온 광 개시자의 분류

양이온 광 개시자의 분류

양이온 광 개시제는 광 개시 과정에서 생성되는 양이온 유형에 따라 두 가지 주요 범주로 분류 될 수 있습니다.

  • 오늄 소금: 이들광 개시자의 유형오늄 염의 절단을 통해 양이온을 생성합니다. 오늄염은 황, 인 또는 질소와 같은 원소를 함유하며, 강한 양이온을 생성하는 능력으로 알려져 있다. 오늄 염의 주요 하위 범주는 다음과 같습니다.

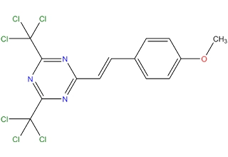
A. Iodonium Salts: 이 개시제는 UV 또는 가시 광선 노출시 iodonium 양이온을 방출합니다. 그들은 일반적으로 치과 복합재 및 코팅을 포함한 UV 경화 응용 분야에 사용됩니다.

B. 술포늄 염: 술포늄계 광개시제는 술포늄 양이온을 생성한다. 접착제, 인쇄 및 전자 제품과 같은 다양한 산업 분야에서 응용 프로그램을 찾습니다.

씨. 포스포늄 염: 포스포늄 개시제는 포스포늄 양이온을 생성하고 코팅 및 잉크와 같은 재료의 UV 경화에 사용됩니다.

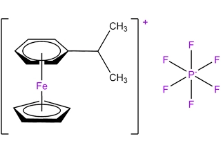
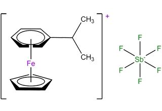
  • 메탈로센 복합체: 이 범주에서 양이온 광개시제는 메탈로센 복합체의 절단을 통해 양이온을 생성한다. 이러한 개시자는 일반적으로 특정 응용 프로그램에서 사용되며 일부 일반적인 하위 범주에는 다음이 포함됩니다.

A. Titanocene 복합체: Titanocene 기반 광 개시제는 티타노센 양이온을 방출합니다. 그들은 3D 인쇄 및 반도체 제조와 같은 특수 응용 분야에 사용됩니다.

B. 크로뮴 복합체: 크롬 기반 개시제는 크롬 양이온을 방출하고 그 특성이 유익한 독특한 응용 분야에 사용됩니다.


샘플을 Reqest? 견적 요청? 기술적 인 질문? 유통 업체 찾기?