TinToll Performance Materials Co., Ltd.
TinToll Performance Materials Co., Ltd.

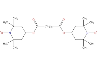
불포화 단량체의 자유 라디칼 억제제 중합은 일반적으로 C-라디칼을 통해 전파되며, 이들은 다른 자유 라디칼과 결합하여 중성 종을 형성함으로써 중합을 억제 할 수 있습니다. TINTOLL 안정 자유 라디칼에는 4-Hydroxy TEMPO , 4-oxo-TEMPO, Tri-(4-Hydroxy-TEMPO) 인 및 Bis(2,2,6,6-tetramethyl-4-piperidyl-1-oxyl) Sebacate가 있으며 매우 효과적인 자유 라디칼 청소부입니다.

중합 억제제의 유형

중합 억제제의 유형

중합 억제제는 무엇입니까?

중합 억제제는 무엇입니까?

중합 억제제는 연장된 중합체 사슬과 반응하는 반응성 분자이다. 이들은 단량체를 안정화시키고 광, 열 및 공기가 중합을 개시하는 것을 방지하는데 사용된다.

중합 억제제는기능성 첨가제단량체의 안전한 저장 및 가공에 필수적입니다.

소량의 억제제를 첨가하면 중합 연쇄 반응이 중단되거나 속도가 상당히 느려질 수 있습니다.

일부 일반적인 중합 억제제는 하이드로퀴논 및 니트로사민을 포함한다. 그러나, 하이드로퀴논과 같은 전통적인 중합 억제제는 특정 조건하에서 중합을 방지할 수 없다.

불포화 단량체의 자유 라디칼 중합은 일반적으로 C-라디칼을 통해 전파되며, 이들은 다른 자유 라디칼과 결합하여 중성 종을 형성함으로써 중합을 억제 할 수 있습니다.틴톨안정한 자유 라디칼에는 4-Hydroxy TEMPO, 4-oxo-TEMPO, Tri-(4-Hydroxy-TEMPO) 인 및 Bis(2,2,6,6-tetramethyl-4-piperidyl-1-oxyl) Sebacate가 있으며 매우 효과적인 자유 라디칼 청소기입니다.


샘플을 Reqest? 견적 요청? 기술적 인 질문? 유통 업체 찾기?