TinToll Performance Materials Co., Ltd.
TinToll Performance Materials Co., Ltd.

중합체의 산화는 색상 변화, 거친 표면 형태의 형성, 용융 점도의 변화 및 기계적 특성의 감소를 포함한 많은 바람직하지 않은 효과를 초래할 수 있습니다. 폴리머 또는 최종 제품의 수명에 영향을 줄 수 있습니다. 산화는 중합체 수명주기의 모든 단계에서, 중합체 수지의 제조 및 저장 동안, 고온 용융 가공 작업 동안, 물품으로 수지를 가공하는 동안, 그리고 기사를 사용하는 동안. 또한 햇빛으로부터 자외선에 노출되면 산화 과정이 가속화됩니다. 중합체에 페놀 항산화제를 첨가하는 것은 중합체 물질의 산화 및 분해를 억제하고 지연시킬 수 있다.


항산화제는 일반적으로 1 차 항산화제와 2 차 항산화제로 구분된다. 1 차 산화 방지제는 산화 동안 형성된 퍼옥시 자유 라디칼을 제거함으로써 작용한다. 1 차 산화 방지제의 두 가지 주요 부류는 장애 페놀 산화 방지제와 방향족 아민입니다. 그들은 넓은 온도 범위에서 효과적이며 재료 처리 및 장기 열 안정성을 향상시킵니다.


인산염 및 티오에테르와 같은 2 차 산화 방지제는 하이드로퍼옥사이드의 분해를 통해 작용한다. 인광은 용융 가공 작업의 고온에서 가장 효과적인 반면, 티오 에테르는 장기 사용 온도에서 고체상에서 가장 잘 작용한다.

틴톨방해된 페놀 산화방지제는 낮은 휘발성, 높은 효율, 공기 페이딩 및 가수분해에 대한 내성을 가지며, 광범위한 적용에서 구현될 수 있다.


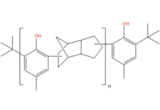
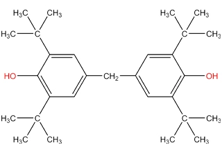
방해받은 페놀 산화 방지제 HPAO의 유형

방해받은 페놀 산화 방지제 HPAO의 유형

방해된 페놀 산화 방지제 HPAO 세부사항

방해된 페놀 산화 방지제 HPAO 세부사항

방해받은 페놀 안정제가 주요플라스틱 용 항산화 첨가제수소 기증자 역할을합니다. 이들은 퍼옥시 라디칼과 반응하여 하이드로퍼옥사이드를 형성하고 중합체 골격으로부터 수소의 추출을 방지한다. 페놀 안정제는 종종 2 차 산화 방지제와 함께 사용되며 다양한 분자량, 생성물 형태 및 기능을 제공합니다. 그들은 가공 및 장기 열 노화 동안 매우 효과적이며 많은 사람들이 FDA 승인을 받았습니다. 이들폴리머 안정제일반적으로 염색이나 변색이 적습니다. 그러나 산화되면 퀴노이드 구조를 형성하여 황변을 일으킬 수 있습니다. PowerNoxTM 페놀 항산화 제는 단순 페놀, 비스페놀, 폴리페놀 및 티오비스페놀을 포함한다.


파워녹스TM2640 (BHT) 는 가장 일반적으로 사용되는 1 차 항산화 제이며 식품 접촉에 대해 FDA 승인을 받았으며 거의 모든 경우에 장기 안정제로 적합합니다. 그러나, BHT는 이동에 저항하는 더 높은 분자량의 항산화제로 점차 대체되는 비교적 휘발성 물질이다.


Thiobisphenols는 또한 과산화물 분해제 (2 차 산화 방지제) 로서 작용하며, 이는 종종 고온 적용에 사용됩니다.

샘플을 Reqest? 견적 요청? 기술적 인 질문? 유통 업체 찾기?